Официальное опубликование правовых актов
ОФИЦИАЛЬНОЕ ОПУБЛИКОВАНИЕ
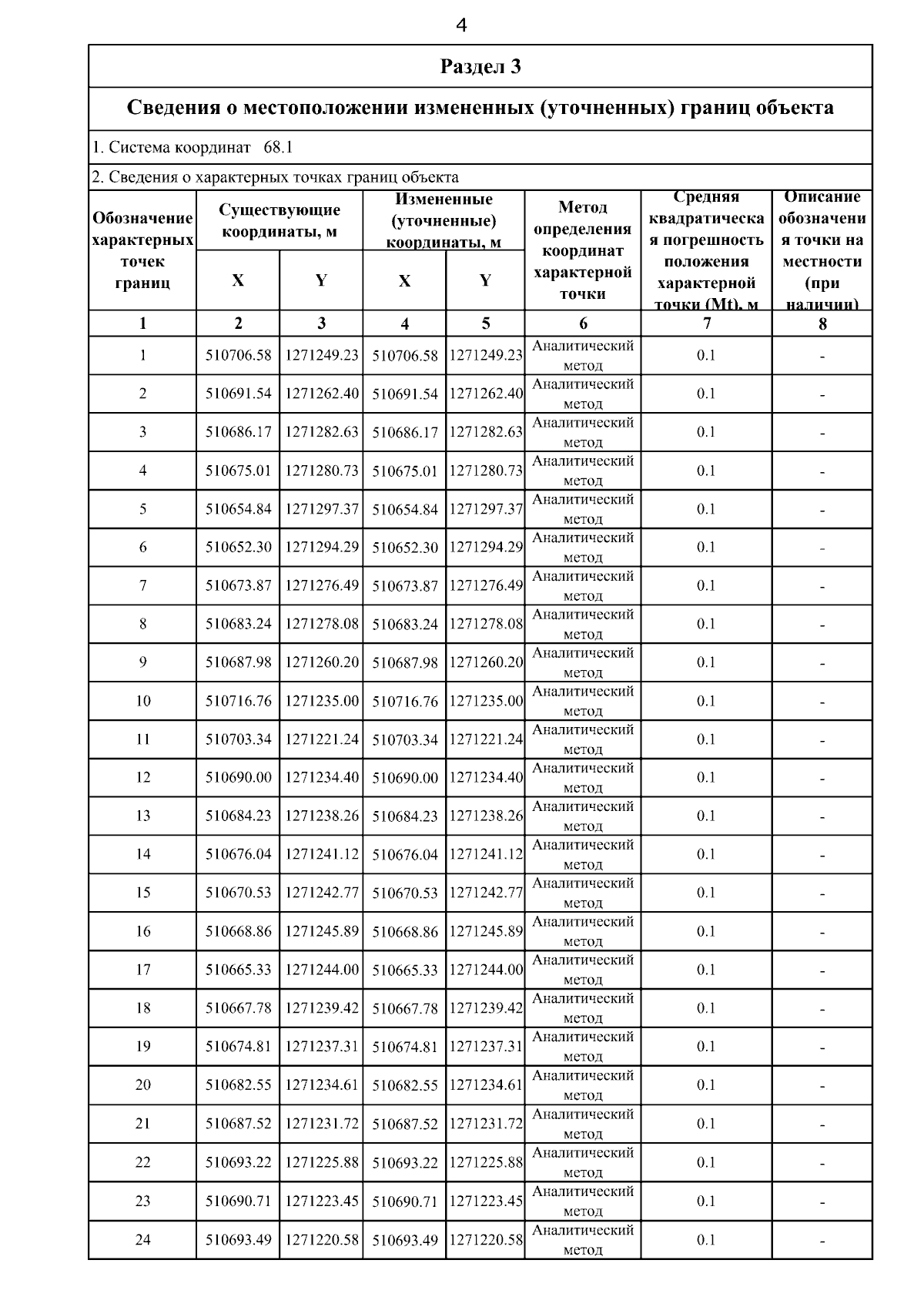
Приказ Министерства имущественных отношений и государственного заказа Тамбовской области от 29.09.2025 № 731
"Об изменении охранной зоны газопровода и наложении ограничений (обременений) на входящие в нее земельные участки"
(Зарегистрирован 29.09.2025 № 731)
Номер опубликования: 6801202510020003
Дата опубликования: 02.10.2025
Страница №6 из 18:
Увеличить