Официальное опубликование правовых актов
ОФИЦИАЛЬНОЕ ОПУБЛИКОВАНИЕ
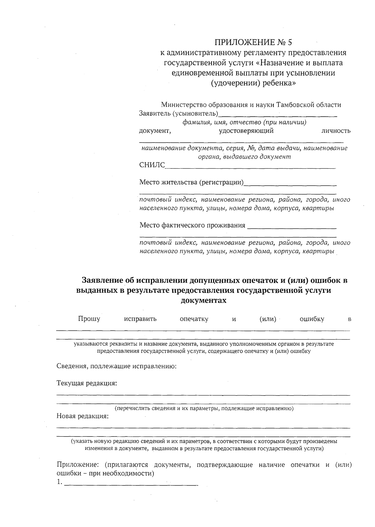
Приказ Министерства образования и науки Тамбовской области от 08.09.2025 № 2222
"Об утверждении административного регламента предоставления государственной услуги "Назначение и выплата единовременной выплаты при усыновлении (удочерении) ребенка"
(Зарегистрирован 08.09.2025 № 2222)
Номер опубликования: 6801202509090010
Дата опубликования: 09.09.2025
Страница №19 из 20:
Увеличить