Официальное опубликование правовых актов
ОФИЦИАЛЬНОЕ ОПУБЛИКОВАНИЕ
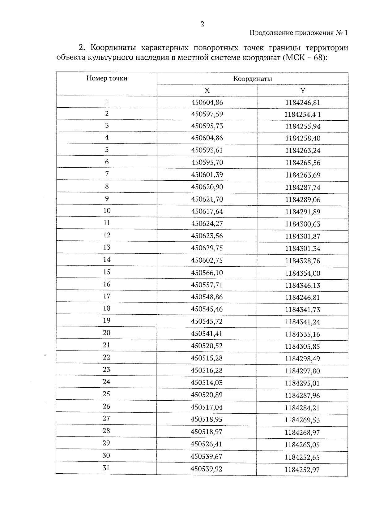
Приказ Департамента по государственной охране объектов культурного наследия Тамбовской области от 05.09.2025 № 269
"О включении выявленного объекта культурного наследия "Здание средней школы № 1, где учился поэт В.М.Кубанев" (Тамбовская область, г. Мичуринск, ул. Советская, д. 262) в единый государственный реестр объектов культурного наследия (памятников истории и культуры) народов Российской Федерации в качестве объекта культурного наследия регионального значения, утверждении границ территории объекта культурного наследия и режима ее использования"
(Зарегистрирован 05.09.2025 № 269)
Номер опубликования: 6801202509090002
Дата опубликования: 09.09.2025
Страница №4 из 6:
Увеличить