Официальное опубликование правовых актов
ОФИЦИАЛЬНОЕ ОПУБЛИКОВАНИЕ
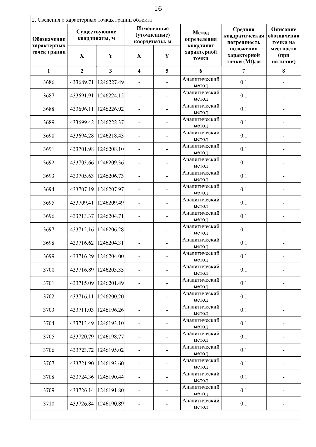
Приказ Министерства имущественных отношений и государственного заказа Тамбовской области от 21.08.2025 № 644
"О внесении изменений в приказ комитета по управлению имуществом Тамбовской области от 11.06.2021 № 417 "Об установлении охранной зоны газопровода и наложении ограничений (обременений) на входящие в нее земельные участки"
(Зарегистрирован 21.08.2025 № 644)
Номер опубликования: 6801202508280004
Дата опубликования: 28.08.2025
Страница №18 из 49:
Увеличить