Официальное опубликование правовых актов
ОФИЦИАЛЬНОЕ ОПУБЛИКОВАНИЕ
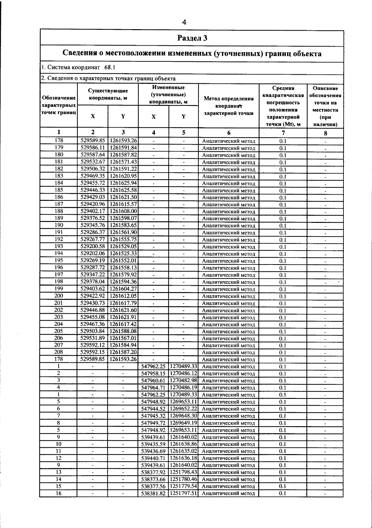
Приказ Министерства имущественных отношений и государственного заказа Тамбовской области от 19.06.2025 № 458
"О внесении изменений в приказ министерства имущественных отношений и государственного заказа Тамбовской области от 17.12.2024 № 755 "Об установлении охранных зон газораспределительных сетей и наложении ограничений (обременений) на входящие в них земельные участки"
(Зарегистрирован 19.06.2025 № 458)
Номер опубликования: 6801202506260003
Дата опубликования: 26.06.2025
Страница №6 из 11:
Увеличить