Официальное опубликование правовых актов
ОФИЦИАЛЬНОЕ ОПУБЛИКОВАНИЕ
Приказ Министерства имущественных отношений и государственного заказа Тамбовской области от 16.06.2025 № 437
"О внесении изменений в приказ комитета по управлению имуществом Тамбовской области от 11.08.2021 № 573 "Об изменении охранной зоны сети газораспределения и наложении ограничений (обременений) на входящие в нее земельные участки"
(Зарегистрирован 16.06.2025 № 437)
Номер опубликования: 6801202506190005
Дата опубликования: 19.06.2025
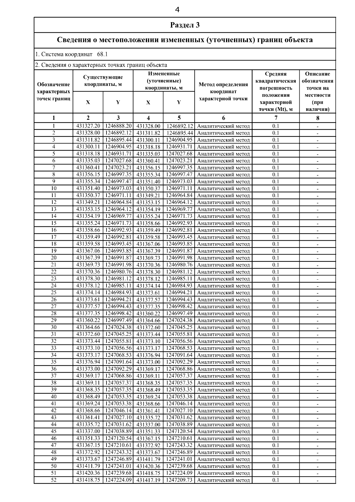
Страница №6 из 73:
Увеличить