Официальное опубликование правовых актов
ОФИЦИАЛЬНОЕ ОПУБЛИКОВАНИЕ
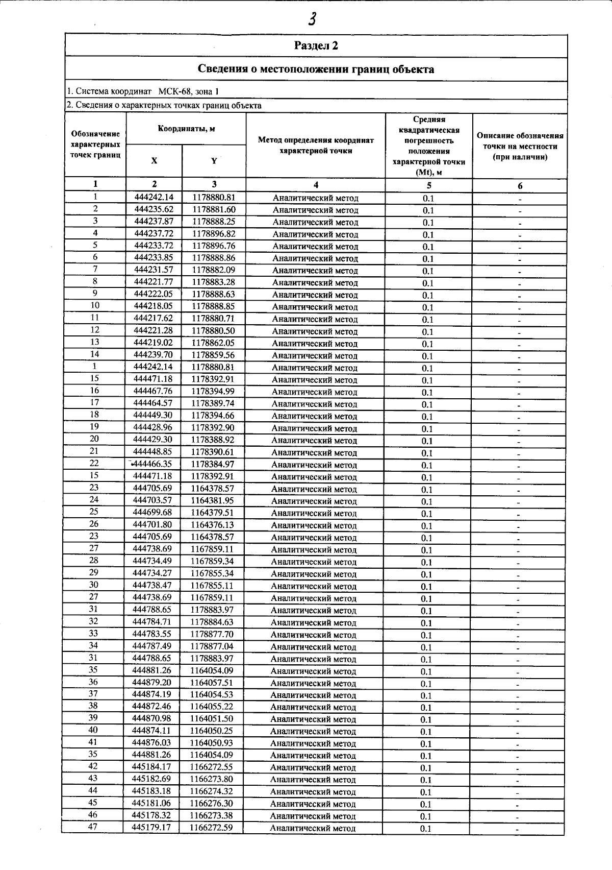
Приказ Министерства имущественных отношений и государственного заказа Тамбовской области от 26.05.2025 № 368
"Об установлении охранной зоны сети газораспределения и наложении ограничений (обременений) на входящие в нее земельные участки"
(Зарегистрирован 26.05.2025 № 368)
Номер опубликования: 6801202505290004
Дата опубликования: 29.05.2025
Страница №5 из 10:
Увеличить