Приказ Департамента по государственной охране объектов культурного наследия Тамбовской области от 18.02.2025 № 79
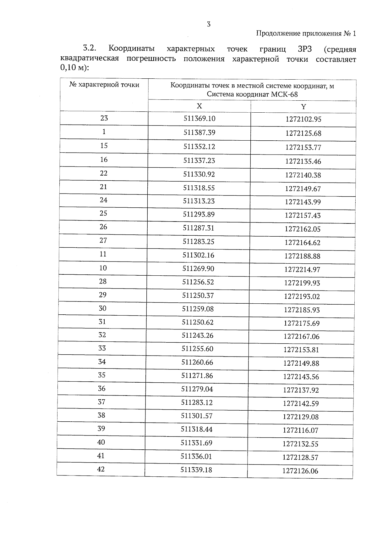
"Об установлении зон охраны объекта культурного наследия регионального значения "Жилой ансамбль" (Тамбовская область, г. Моршанск, ул. Ленина, д. 25, д. 27) и утверждении требований к градостроительным регламентам в границах территорий данных зон"
(Зарегистрирован 18.02.2025 № 79)
"Об установлении зон охраны объекта культурного наследия регионального значения "Жилой ансамбль" (Тамбовская область, г. Моршанск, ул. Ленина, д. 25, д. 27) и утверждении требований к градостроительным регламентам в границах территорий данных зон"
(Зарегистрирован 18.02.2025 № 79)
Номер опубликования: 6801202502200010
Дата опубликования:
20.02.2025
