Официальное опубликование правовых актов
ОФИЦИАЛЬНОЕ ОПУБЛИКОВАНИЕ
Приказ Министерства имущественных отношений и государственного заказа Тамбовской области от 12.12.2024 № 734
"О внесении изменений в приложение к приказу министерства имущественных отношений и государственного заказа Тамбовской области от 14.03.2023 № 98 "Об изменении охранной зоны газопровода и наложении ограничений (обременений) на входящие в нее земельные участки"
(Зарегистрирован 12.12.2024 № 734)
Номер опубликования: 6801202412200013
Дата опубликования: 20.12.2024
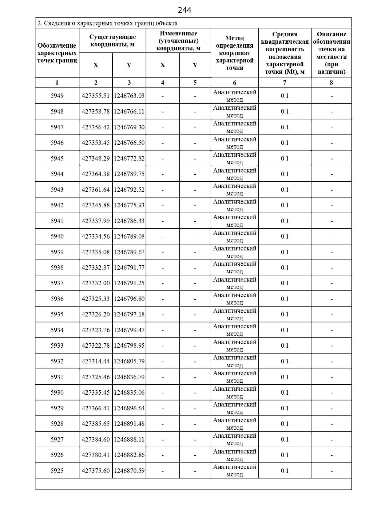
Страница №246 из 545:
Увеличить