Официальное опубликование правовых актов
ОФИЦИАЛЬНОЕ ОПУБЛИКОВАНИЕ
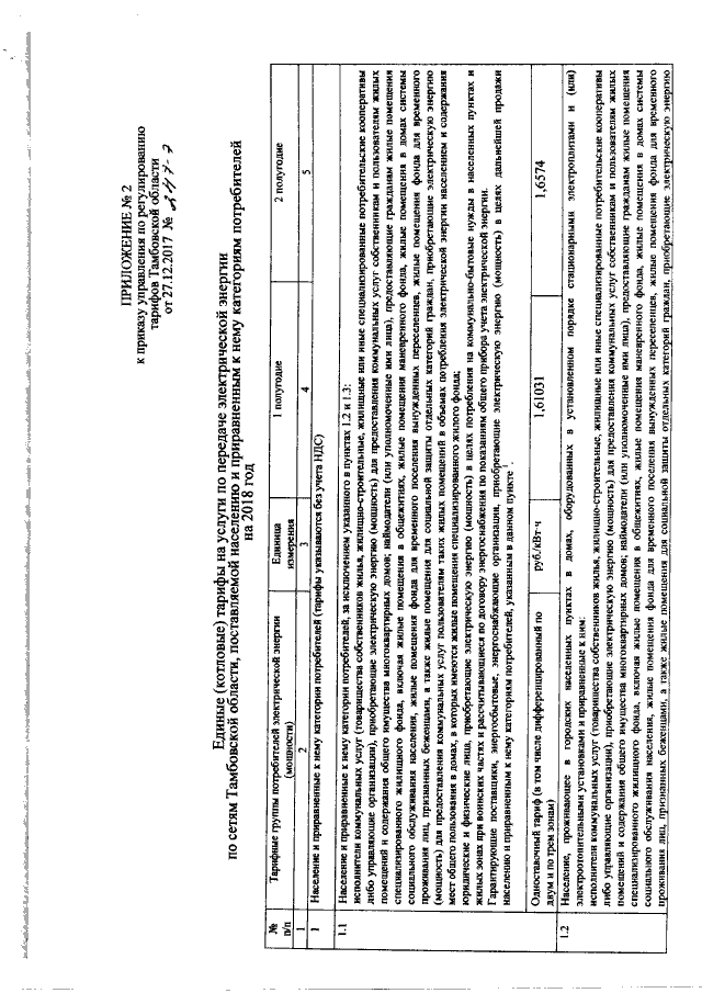
Приказ Управления по регулированию тарифов Тамбовской области от 27.12.2017 № 247-э
"Об установлении единых (котловых) тарифов на услуги по передаче электрической энергии по сетям Тамбовской области на 2018 год"
Номер опубликования: 6801201712280012
Дата опубликования: 28.12.2017
Страница №11 из 13:
Увеличить