Приказ Управления по государственной охране объектов культурного наследия Тамбовской области от 26.12.2017 № 344
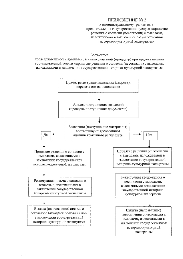
"Об утверждении административного регламента предоставления государственной услуги "принятие решения о согласии (несогласии) с выводами, изложенными в заключении государственной историко-культурной экспертизы"
"Об утверждении административного регламента предоставления государственной услуги "принятие решения о согласии (несогласии) с выводами, изложенными в заключении государственной историко-культурной экспертизы"
Номер опубликования: 6801201712270015
Дата опубликования:
27.12.2017
