Официальное опубликование правовых актов
ОФИЦИАЛЬНОЕ ОПУБЛИКОВАНИЕ
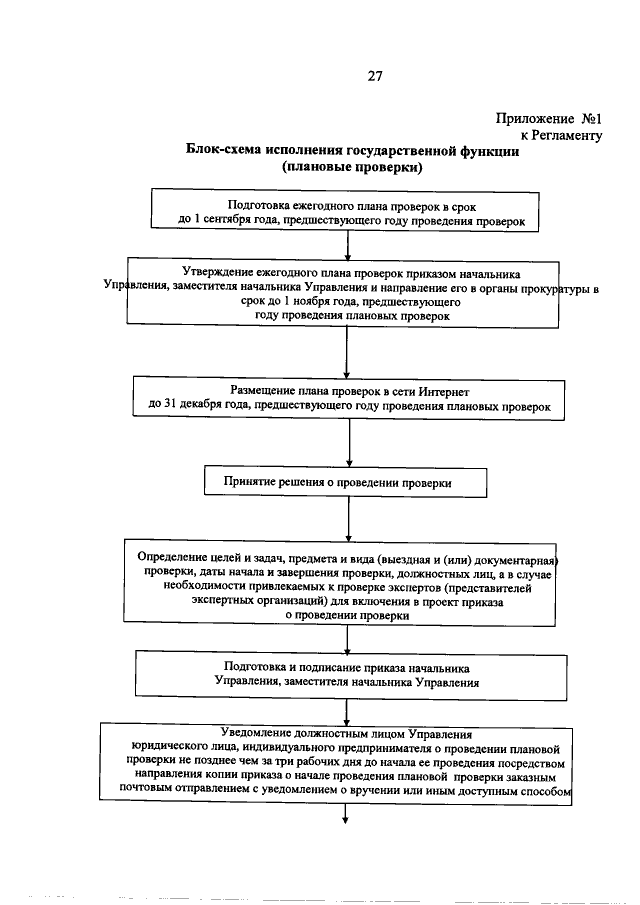
Приказ Управления автомобильных дорог и транспорта Тамбовской области от 21.11.2017 № 221
"Об утверждении административного регламента исполнения государственной функции "Осуществление регионального государственного контроля в сфере перевозок пассажиров и багажа легковым такси на территории Тамбовской области"
Номер опубликования: 6801201711230007
Дата опубликования: 23.11.2017
Страница №29 из 34:
Увеличить