Официальное опубликование правовых актов
ОФИЦИАЛЬНОЕ ОПУБЛИКОВАНИЕ
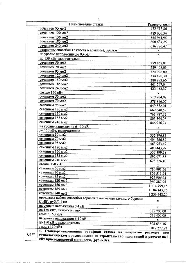
Приказ Управления по регулированию тарифов Тамбовской области от 22.12.2016 № 233-э
"Об установлении платы за технологическое присоединение энергопринимающих устройств заявителей к электрическим сетям территориальных сетевых организаций на территории Тамбовской области на 2017 год"
Номер опубликования: 6801201612270009
Дата опубликования: 27.12.2016
Страница №9 из 34:
Увеличить