Официальное опубликование правовых актов
ОФИЦИАЛЬНОЕ ОПУБЛИКОВАНИЕ
Постановление Правительства Тамбовской области от 24.02.2026 № 71
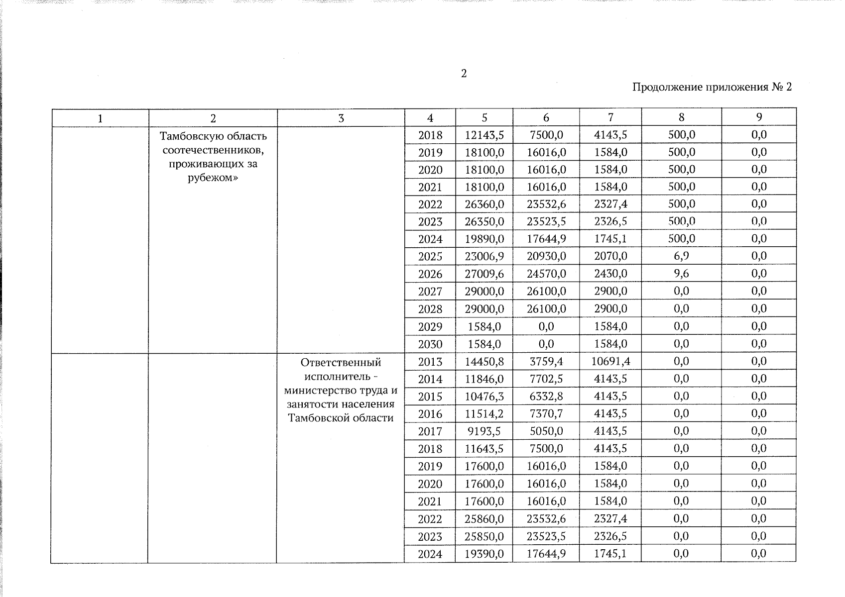
"О внесении изменений в государственную программу Тамбовской области "Оказание содействия добровольному переселению в Тамбовскую область соотечественников, проживающих за рубежом"
Номер опубликования: 6800202602260001
Дата опубликования: 26.02.2026
Страница №20 из 28:
Увеличить