Официальное опубликование правовых актов
ОФИЦИАЛЬНОЕ ОПУБЛИКОВАНИЕ
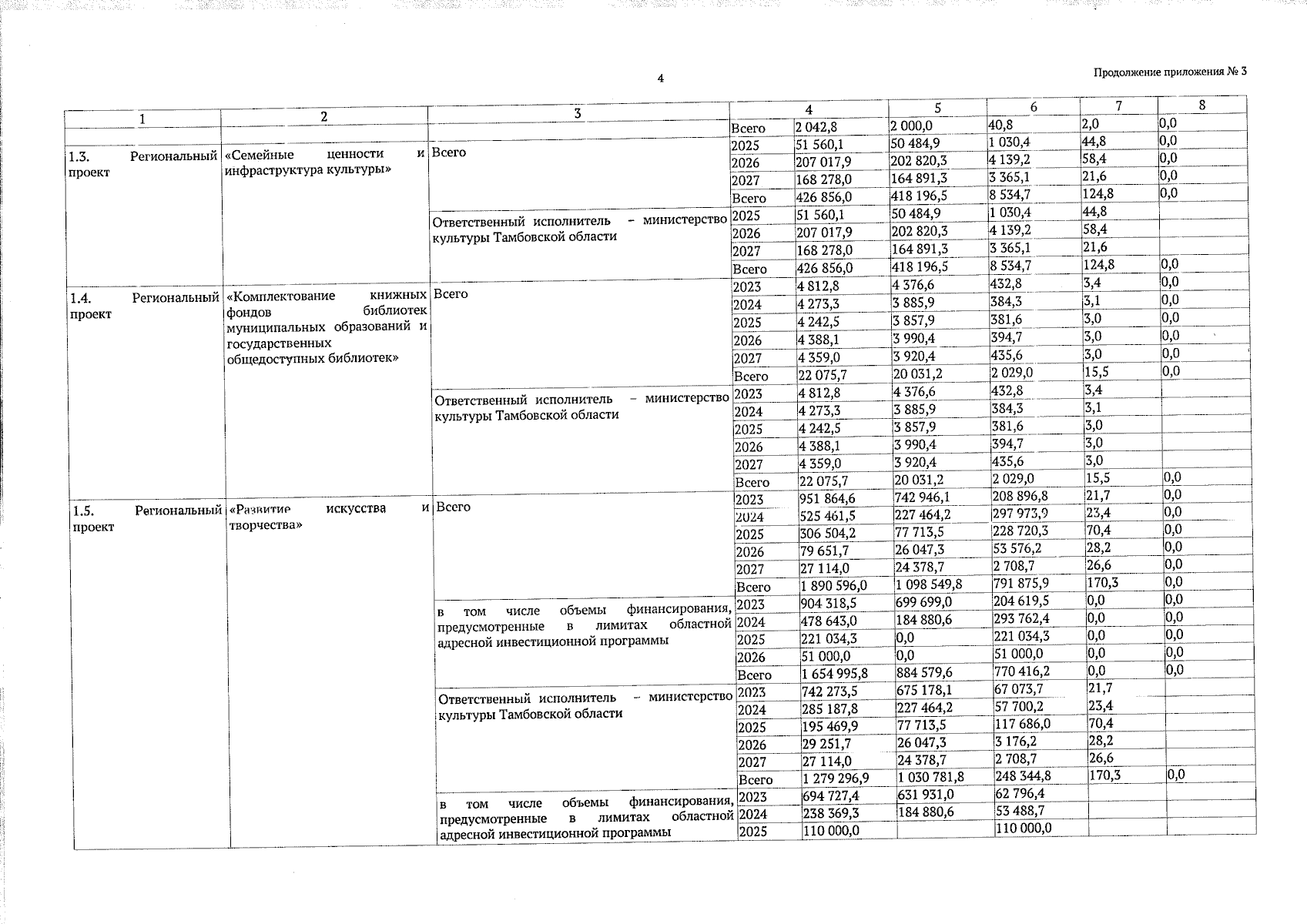
Постановление Правительства Тамбовской области от 26.12.2025 № 739
"О внесении изменений в постановление администрации Тамбовской области от 20.06.2013 № 642 "Об утверждении государственной программы Тамбовской области "Развитие культуры"
Номер опубликования: 6800202512290019
Дата опубликования: 29.12.2025
Страница №45 из 59:
Увеличить