Официальное опубликование правовых актов
ОФИЦИАЛЬНОЕ ОПУБЛИКОВАНИЕ
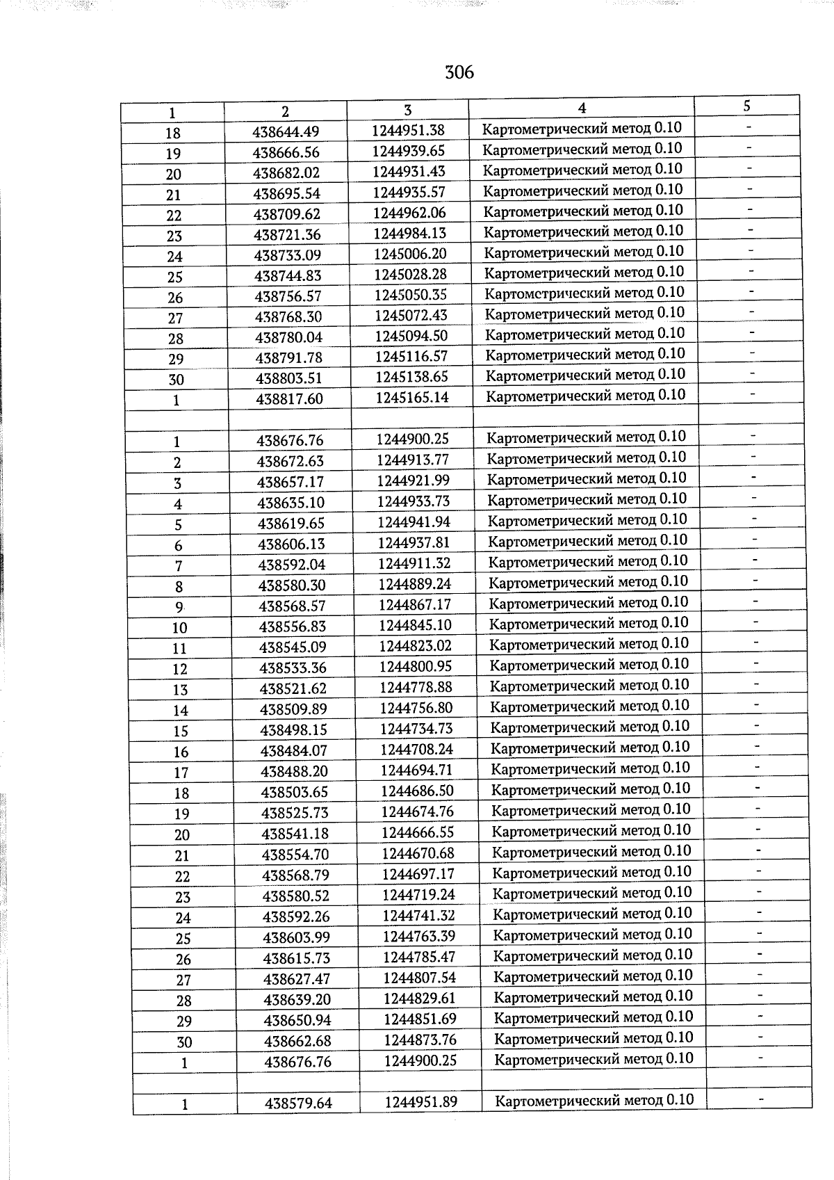
Постановление Правительства Тамбовской области от 26.12.2025 № 735
"О внесении изменений в постановление администрации Тамбовской области от 28.09.2017 № 943 "Об утверждении правил землепользования и застройки муниципального образования городского округа - город Тамбов"
Номер опубликования: 6800202512290018
Дата опубликования: 29.12.2025
Страница №535 из 571:
Увеличить