Официальное опубликование правовых актов
ОФИЦИАЛЬНОЕ ОПУБЛИКОВАНИЕ
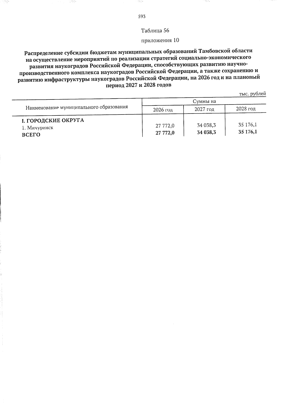
Закон Тамбовской области от 19.12.2025 № 766-З
"О бюджете Тамбовской области на 2026 год и на плановый период 2027 и 2028 годов"
Номер опубликования: 6800202512220023
Дата опубликования: 22.12.2025
Страница №593 из 635:
Увеличить