Официальное опубликование правовых актов
ОФИЦИАЛЬНОЕ ОПУБЛИКОВАНИЕ
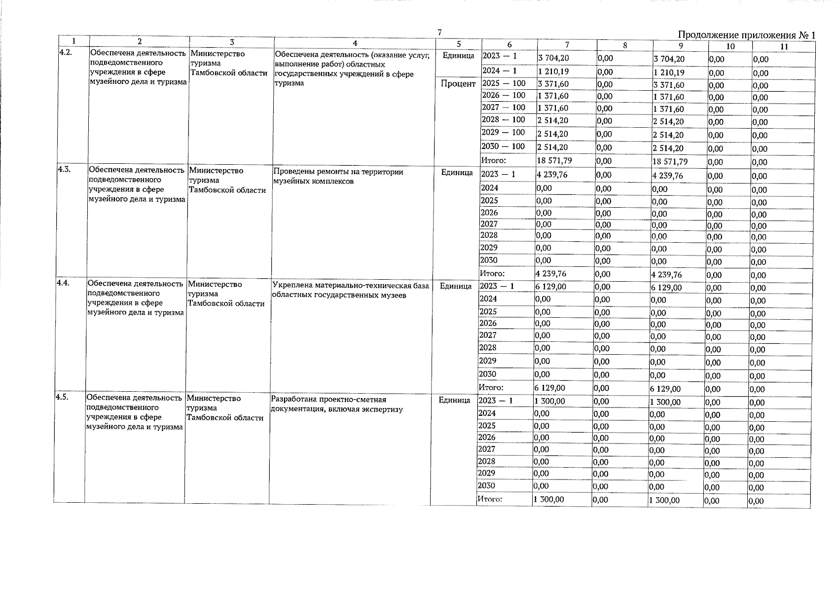
Постановление Правительства Тамбовской области от 04.09.2025 № 507
"О внесении изменений в Государственную программу Тамбовской области "Развитие туризма"
Номер опубликования: 6800202509050001
Дата опубликования: 05.09.2025
Страница №8 из 12:
Увеличить