Официальное опубликование правовых актов
ОФИЦИАЛЬНОЕ ОПУБЛИКОВАНИЕ
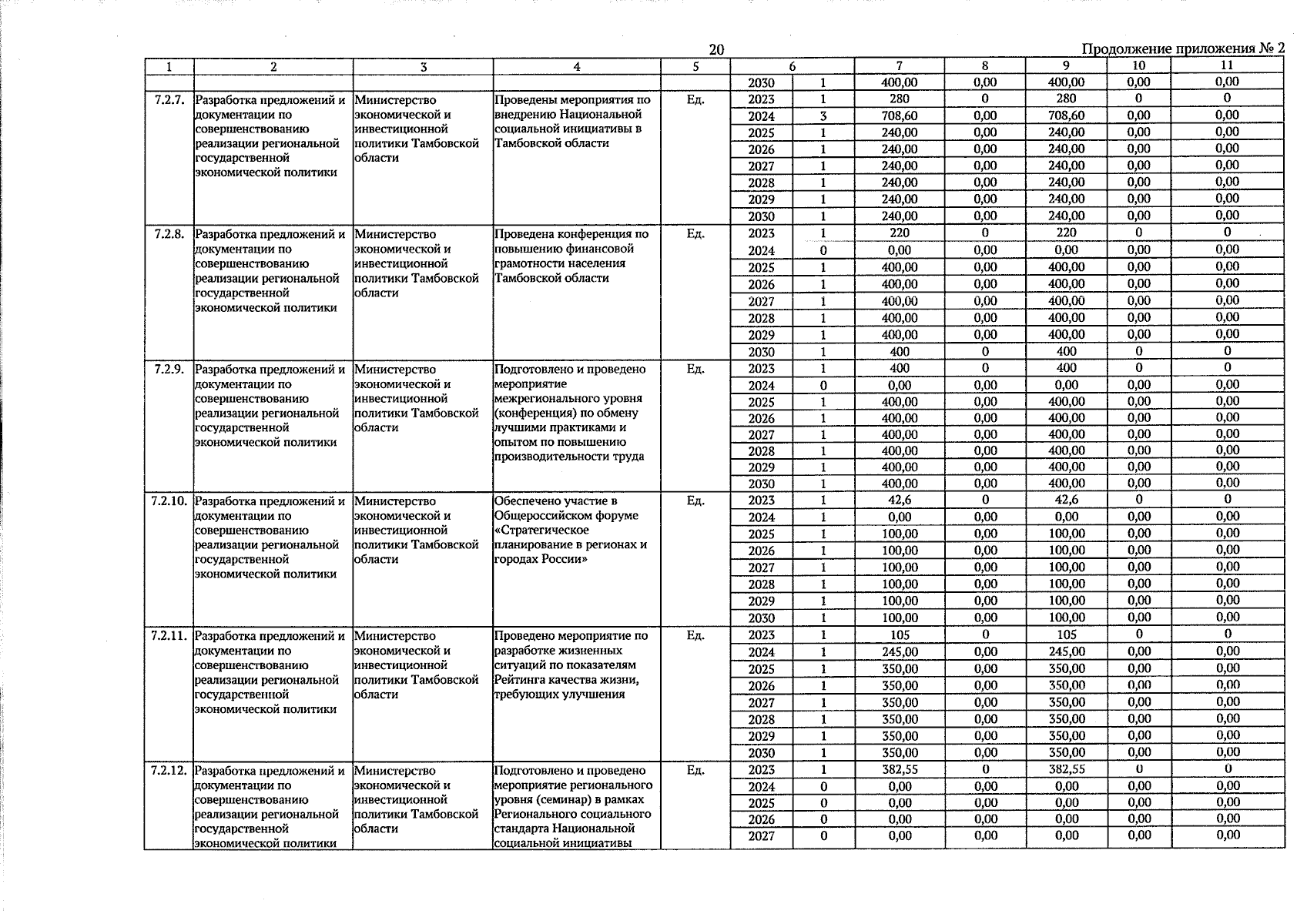
Постановление Правительства Тамбовской области от 03.09.2025 № 499
"О внесении изменений в государственную программу Тамбовской области "Экономическое развитие и инновационная экономика"
Номер опубликования: 6800202509040006
Дата опубликования: 04.09.2025
Страница №28 из 47:
Увеличить