Официальное опубликование правовых актов
ОФИЦИАЛЬНОЕ ОПУБЛИКОВАНИЕ
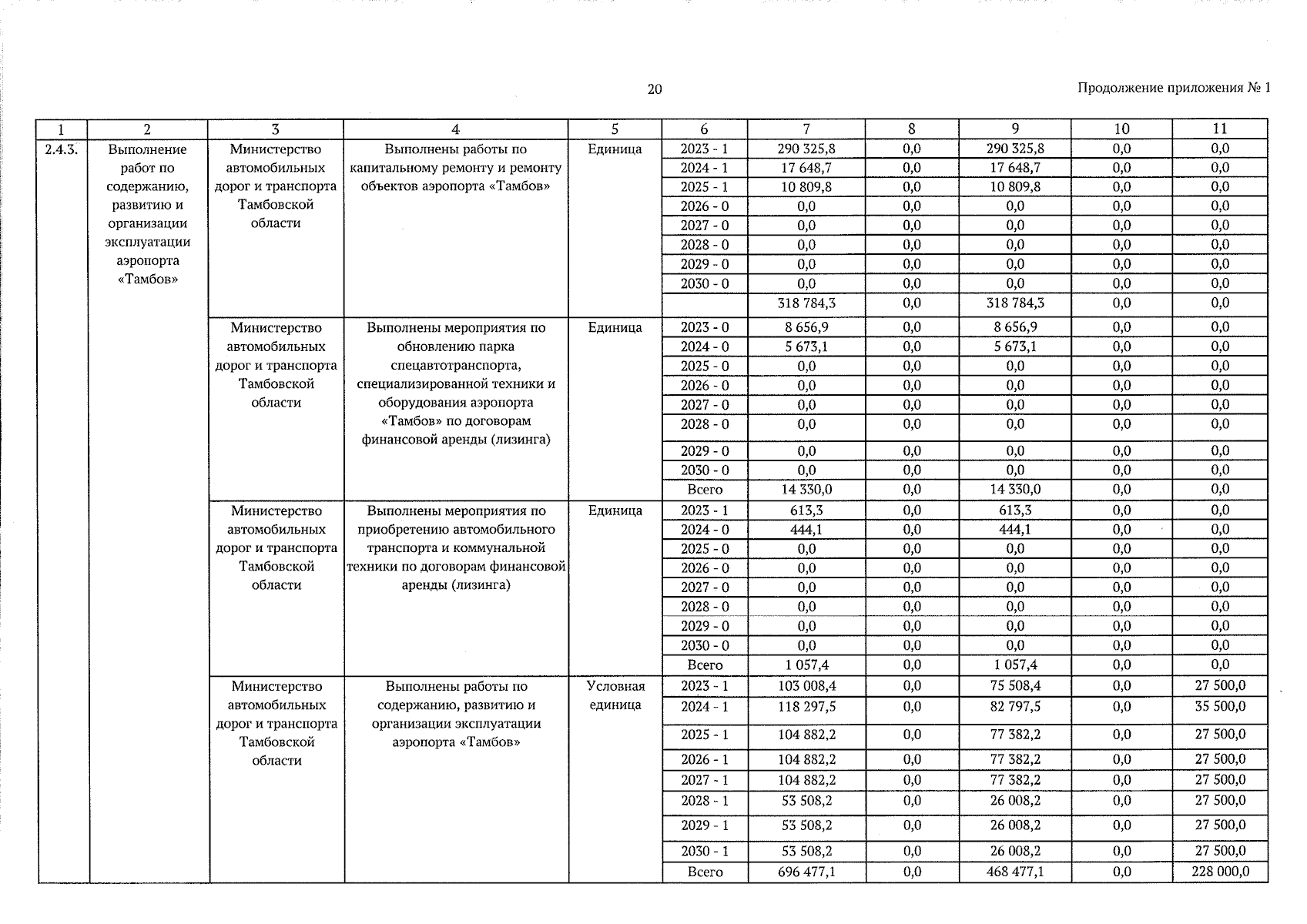
Постановление Правительства Тамбовской области от 29.08.2025 № 491
"О внесении изменений в государственную программу "Развитие транспортной системы и дорожного хозяйства Тамбовской области"
Номер опубликования: 6800202509020006
Дата опубликования: 02.09.2025
Страница №22 из 60:
Увеличить