Официальное опубликование правовых актов
ОФИЦИАЛЬНОЕ ОПУБЛИКОВАНИЕ
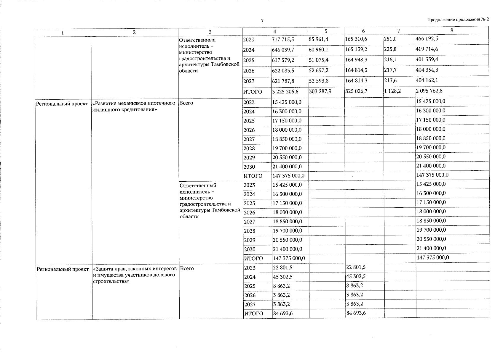
Постановление Правительства Тамбовской области от 05.08.2025 № 467
"О внесении изменений в Государственную программу Тамбовской области "Обеспечение доступным и комфортным жильем и коммунальными услугами населения области"
Номер опубликования: 6800202508070002
Дата опубликования: 07.08.2025
Страница №26 из 69:
Увеличить