Официальное опубликование правовых актов
ОФИЦИАЛЬНОЕ ОПУБЛИКОВАНИЕ
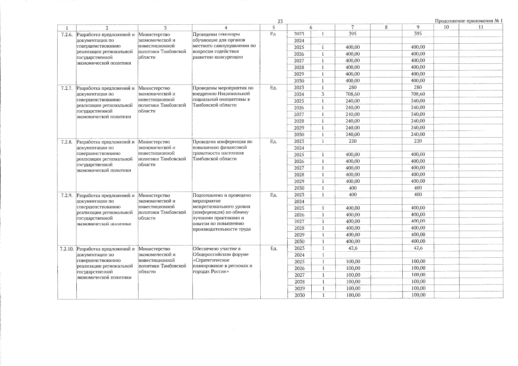
Постановление Правительства Тамбовской области от 01.08.2025 № 458
"О внесении изменений в государственную программу Тамбовской области "Экономическое развитие и инновационная экономика"
Номер опубликования: 6800202508050003
Дата опубликования: 05.08.2025
Страница №24 из 44:
Увеличить