Официальное опубликование правовых актов
ОФИЦИАЛЬНОЕ ОПУБЛИКОВАНИЕ
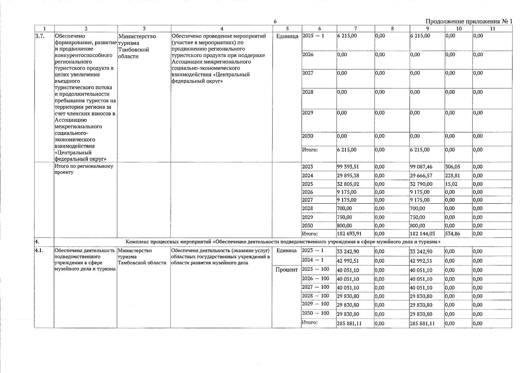
Постановление Правительства Тамбовской области от 31.07.2025 № 457
"О внесении изменений в Государственную программу Тамбовской области "Развитие туризма"
Номер опубликования: 6800202508040001
Дата опубликования: 04.08.2025
Страница №7 из 12:
Увеличить