Официальное опубликование правовых актов
ОФИЦИАЛЬНОЕ ОПУБЛИКОВАНИЕ
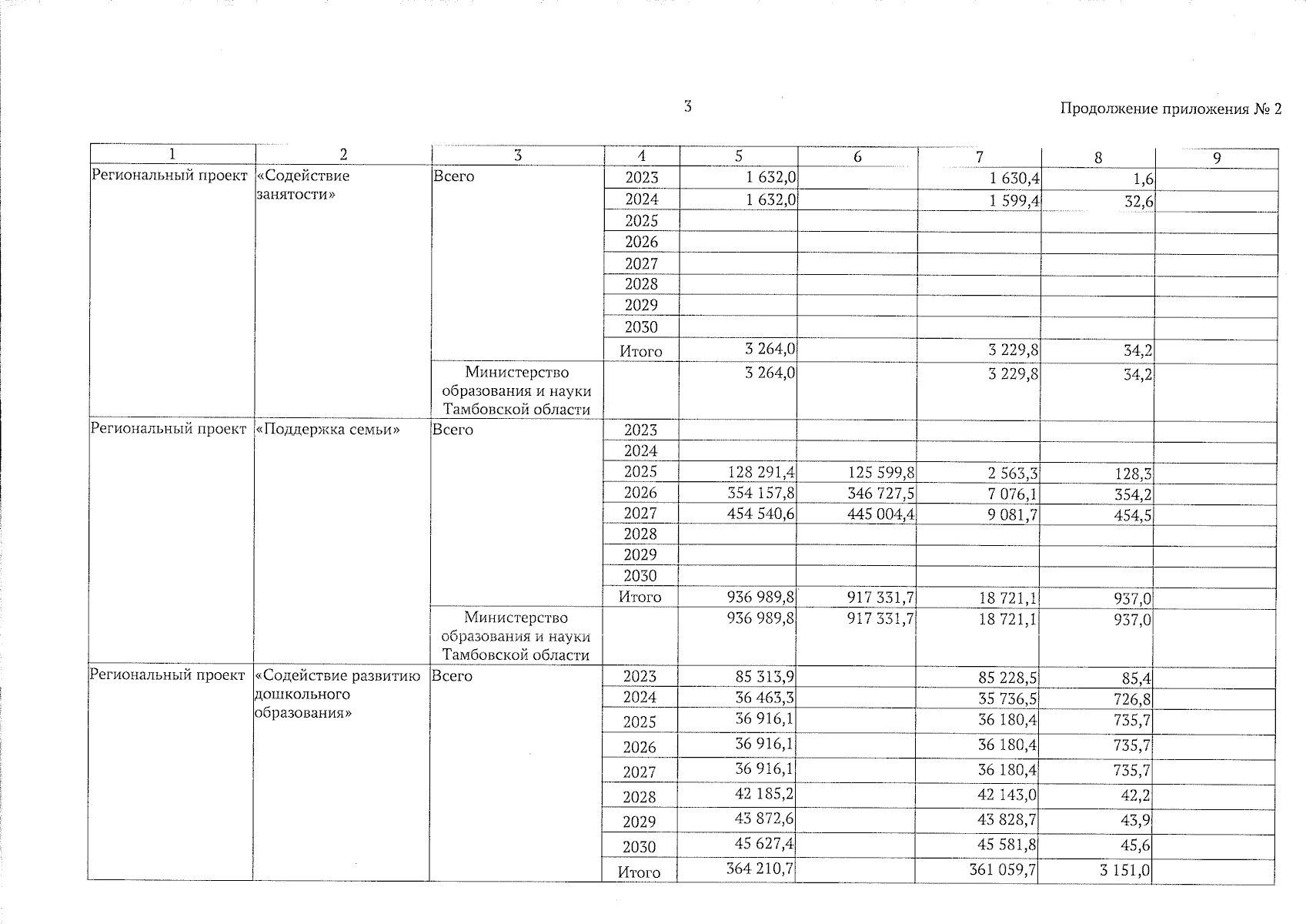
Постановление Правительства Тамбовской области от 25.07.2025 № 445
"О внесении изменений в государственную программу Тамбовской области "Развитие образования Тамбовской области"
Номер опубликования: 6800202507290003
Дата опубликования: 29.07.2025
Страница №38 из 49:
Увеличить