Официальное опубликование правовых актов
ОФИЦИАЛЬНОЕ ОПУБЛИКОВАНИЕ
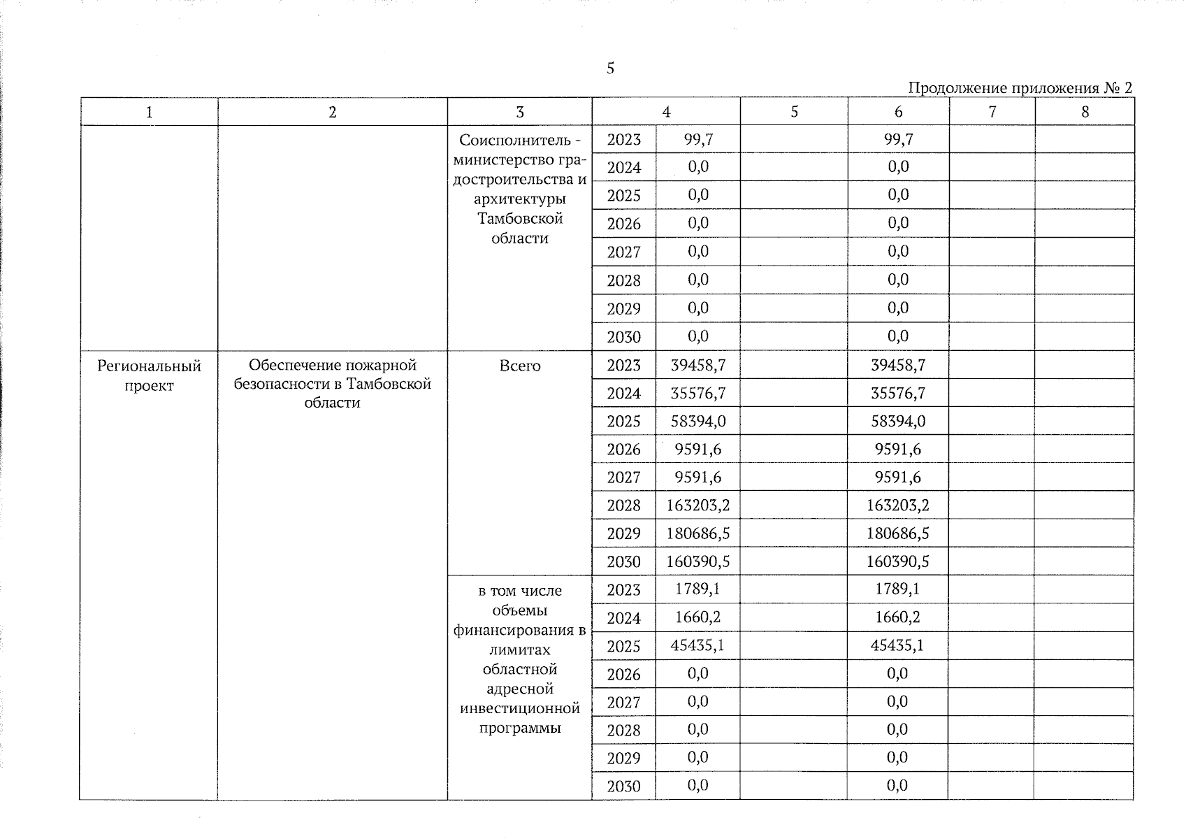
Постановление Правительства Тамбовской области от 25.07.2025 № 446
"О внесении изменений в государственную программу Тамбовской области "Защита населения и территорий от чрезвычайных ситуаций, обеспечение пожарной безопасности и безопасности людей на водных объектах в Тамбовской области"
Номер опубликования: 6800202507290002
Дата опубликования: 29.07.2025
Страница №17 из 20:
Увеличить