Официальное опубликование правовых актов
ОФИЦИАЛЬНОЕ ОПУБЛИКОВАНИЕ
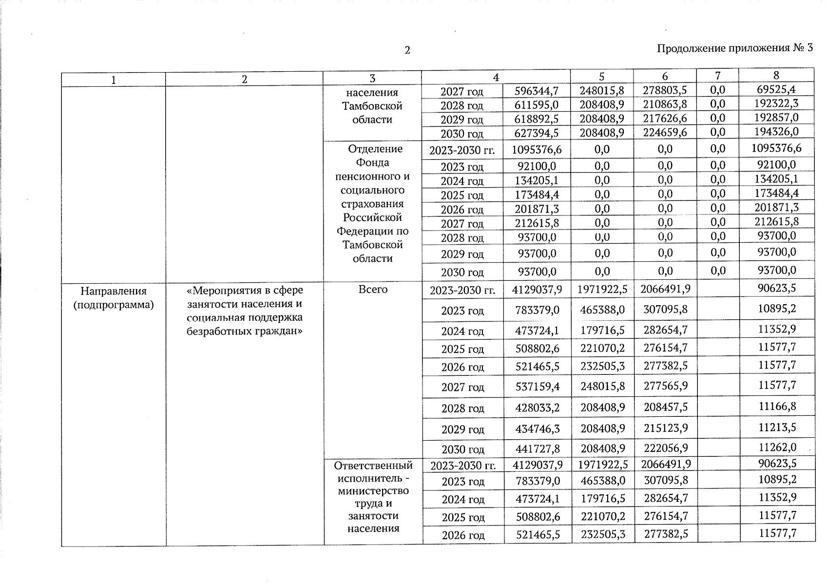
Постановление Правительства Тамбовской области от 17.07.2025 № 433
"О внесении изменений в Государственную программу Тамбовской области "Содействие занятости населения"
Номер опубликования: 6800202507180009
Дата опубликования: 18.07.2025
Страница №37 из 41:
Увеличить