Официальное опубликование правовых актов
ОФИЦИАЛЬНОЕ ОПУБЛИКОВАНИЕ
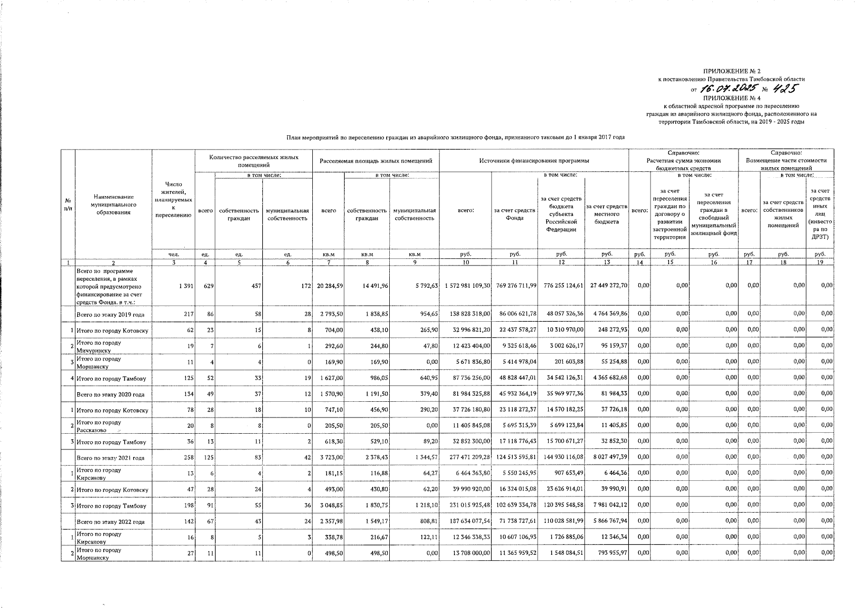
Постановление Правительства Тамбовской области от 16.07.2025 № 425
"О внесении изменений в областную адресную программу по переселению граждан из аварийного жилищного фонда, расположенного на территории Тамбовской области, на 2019-2025 годы"
Номер опубликования: 6800202507180005
Дата опубликования: 18.07.2025
Страница №4 из 5:
Увеличить