Официальное опубликование правовых актов
ОФИЦИАЛЬНОЕ ОПУБЛИКОВАНИЕ
Закон Тамбовской области от 09.06.2025 № 677-З
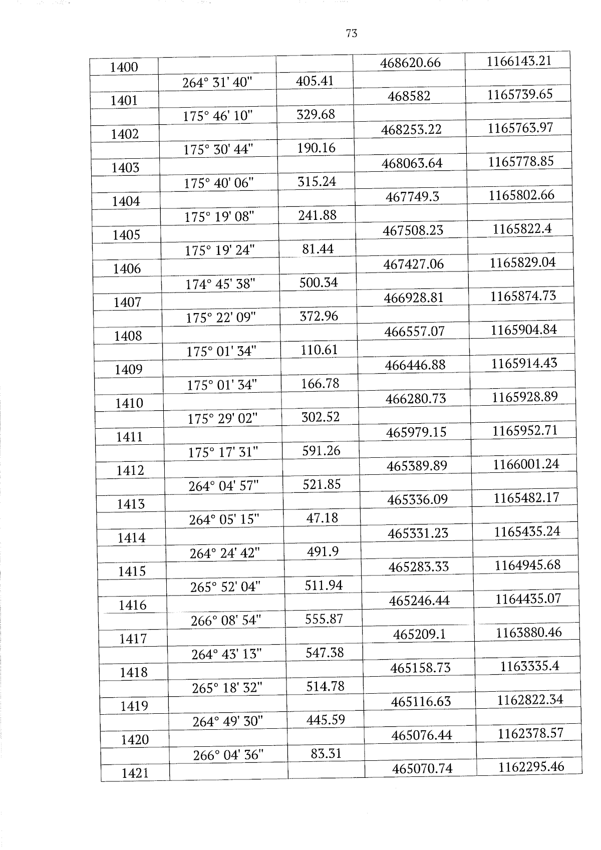
"О внесении изменения в Закон Тамбовской области "Об установлении границ Первомайского муниципального округа Тамбовской области и определении места нахождения его представительного органа и о признании утратившими силу отдельных положений некоторых законодательных актов Тамбовской области"
Номер опубликования: 6800202506110005
Дата опубликования: 11.06.2025
Страница №73 из 94:
Увеличить