Официальное опубликование правовых актов
ОФИЦИАЛЬНОЕ ОПУБЛИКОВАНИЕ
Закон Тамбовской области от 09.06.2025 № 679-З
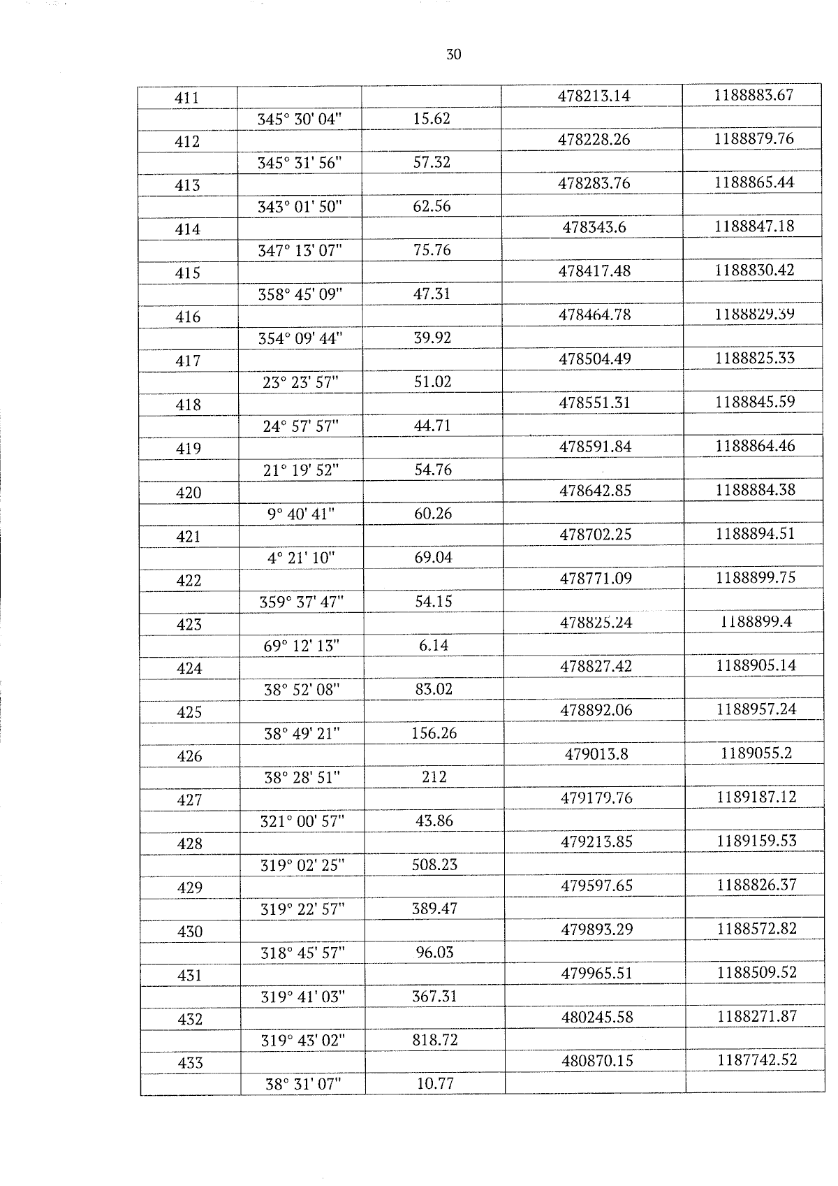
"О внесении изменения в Закон Тамбовской области "Об установлении границ Мичуринского муниципального округа Тамбовской области и определении места нахождения его представительного органа и о признании утратившими силу отдельных положений некоторых законодательных актов Тамбовской области"
Номер опубликования: 6800202506110003
Дата опубликования: 11.06.2025
Страница №30 из 136:
Увеличить