Официальное опубликование правовых актов
ОФИЦИАЛЬНОЕ ОПУБЛИКОВАНИЕ
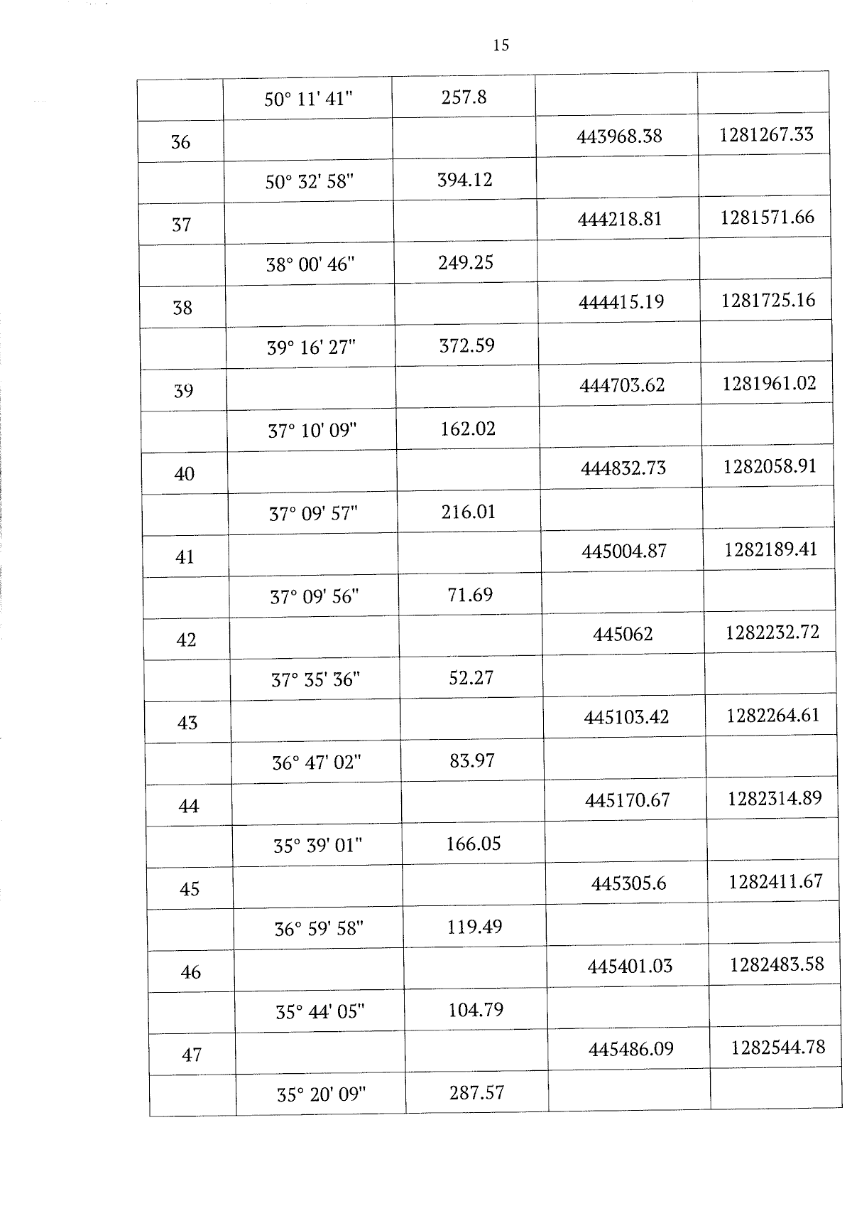
Закон Тамбовской области от 29.04.2025 № 670-З
"О внесении изменения в Закон Тамбовской области "Об установлении границ Рассказовского муниципального округа Тамбовской области и определении места нахождения его представительного органа и о признании утратившими силу отдельных положений некоторых законодательных актов Тамбовской области"
Номер опубликования: 6800202504300002
Дата опубликования: 30.04.2025
Страница №15 из 219:
Увеличить