Официальное опубликование правовых актов
ОФИЦИАЛЬНОЕ ОПУБЛИКОВАНИЕ
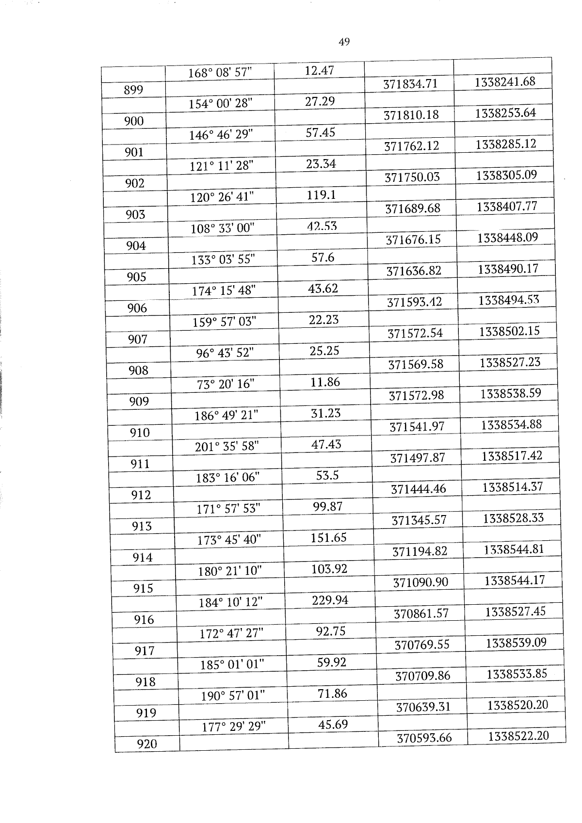
Закон Тамбовской области от 29.04.2025 № 668-З
"О внесении изменения в Закон Тамбовской области "Об установлении границ Инжавинского муниципального округа Тамбовской области и определении места нахождения его представительного органа и о признании утратившими силу отдельных положений некоторых законодательных актов Тамбовской области"
Номер опубликования: 6800202504300001
Дата опубликования: 30.04.2025
Страница №49 из 149:
Увеличить