Официальное опубликование правовых актов
ОФИЦИАЛЬНОЕ ОПУБЛИКОВАНИЕ
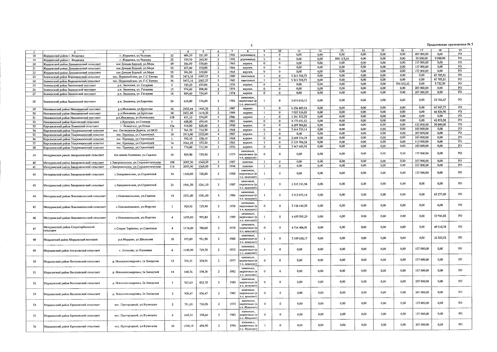
Постановление Правительства Тамбовской области от 22.04.2025 № 282
"О внесении изменений в отдельные постановления администрации Тамбовской области"
Номер опубликования: 6800202504240002
Дата опубликования: 24.04.2025
Страница №110 из 203:
Увеличить