Официальное опубликование правовых актов
ОФИЦИАЛЬНОЕ ОПУБЛИКОВАНИЕ
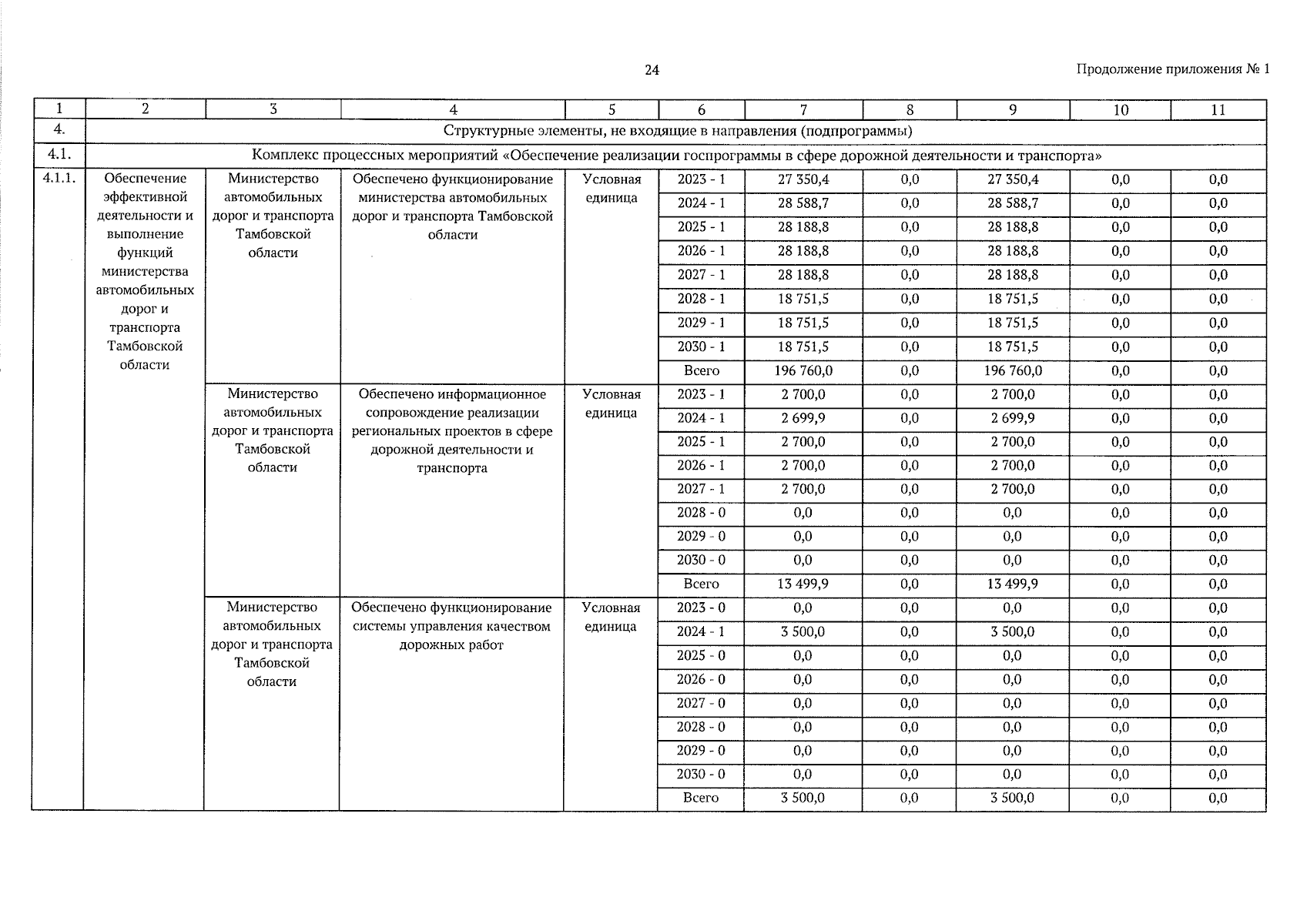
Постановление Правительства Тамбовской области от 19.02.2025 № 124
"О внесении изменений в государственную программу "Развитие транспортной системы и дорожного хозяйства Тамбовской области"
Номер опубликования: 6800202502210004
Дата опубликования: 21.02.2025
Страница №26 из 45:
Увеличить