Официальное опубликование правовых актов
ОФИЦИАЛЬНОЕ ОПУБЛИКОВАНИЕ
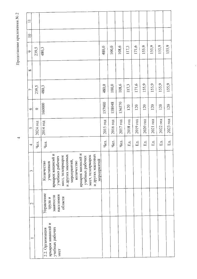
Постановление администрации Тамбовской области от 16.11.2018 № 1187
"О внесении изменений в постановление администрации области от 18.07.2013 № 766 "Об утверждении Государственной программы Тамбовской области "Содействие занятости населения" на 2014-2020 годы"
Номер опубликования: 6800201811210004
Дата опубликования: 21.11.2018
Страница №73 из 160:
Увеличить