Официальное опубликование правовых актов
ОФИЦИАЛЬНОЕ ОПУБЛИКОВАНИЕ
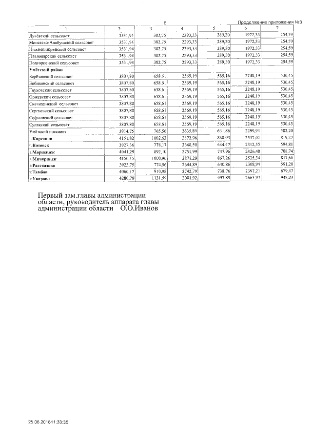
Постановление администрации Тамбовской области от 23.07.2018 № 736
"Об областных стандартах для расчета субсидий на оплату жилого помещения и коммунальных услуг на июль-декабрь 2018 года"
Номер опубликования: 6800201807250006
Дата опубликования: 25.07.2018
Страница №17 из 17:
Увеличить