Официальное опубликование правовых актов
ОФИЦИАЛЬНОЕ ОПУБЛИКОВАНИЕ
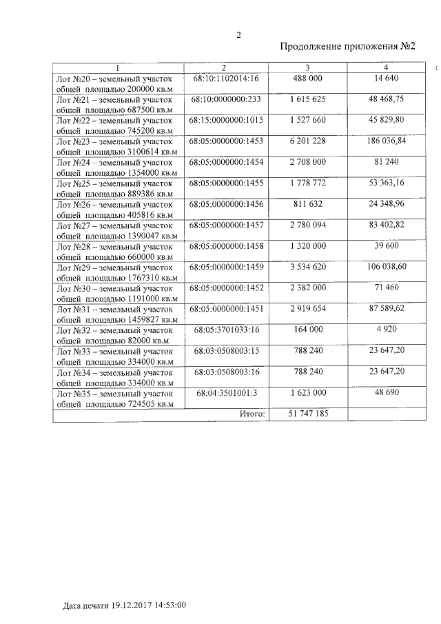
Постановление администрации Тамбовской области от 09.01.2018 № 5
"Об условиях продажи земельных участков сельскохозяйственного назначения, находящихся в государственной собственности Тамбовской области, расположенных в границах Уметского, Уваровского, Гавриловского, Мордовского, Петровского, Мучкапского, Рассказовского, Инжавинского, Жердевского и Знаменского районов"
Номер опубликования: 6800201801120004
Дата опубликования: 12.01.2018
Страница №11 из 13:
Увеличить