Официальное опубликование правовых актов
ОФИЦИАЛЬНОЕ ОПУБЛИКОВАНИЕ
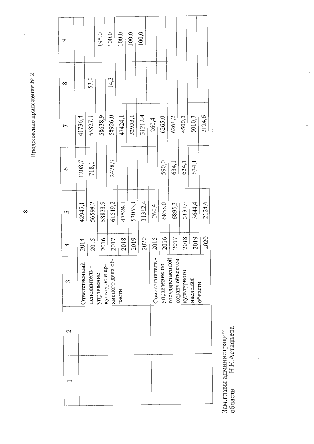
Постановление администрации Тамбовской области от 28.12.2017 № 1347
"О внесении изменений в государственную программу Тамбовской области "Развитие культуры и туризма" на 2014-2020 годы"
Номер опубликования: 6800201712290014
Дата опубликования: 29.12.2017
Страница №41 из 41:
Увеличить