Официальное опубликование правовых актов
ОФИЦИАЛЬНОЕ ОПУБЛИКОВАНИЕ
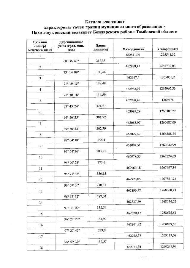
Закон Тамбовской области от 02.11.2017 № 152 - З
"Об установлении границ муниципальных образований Бондарского района Тамбовской области и определении места нахождения их представительных органов и о признании утратившими силу отдельных положений некоторых законодательных актов Тамбовской области"
Номер опубликования: 6800201711070003
Дата опубликования: 07.11.2017
Страница №416 из 493:
Увеличить