Официальное опубликование правовых актов
ОФИЦИАЛЬНОЕ ОПУБЛИКОВАНИЕ
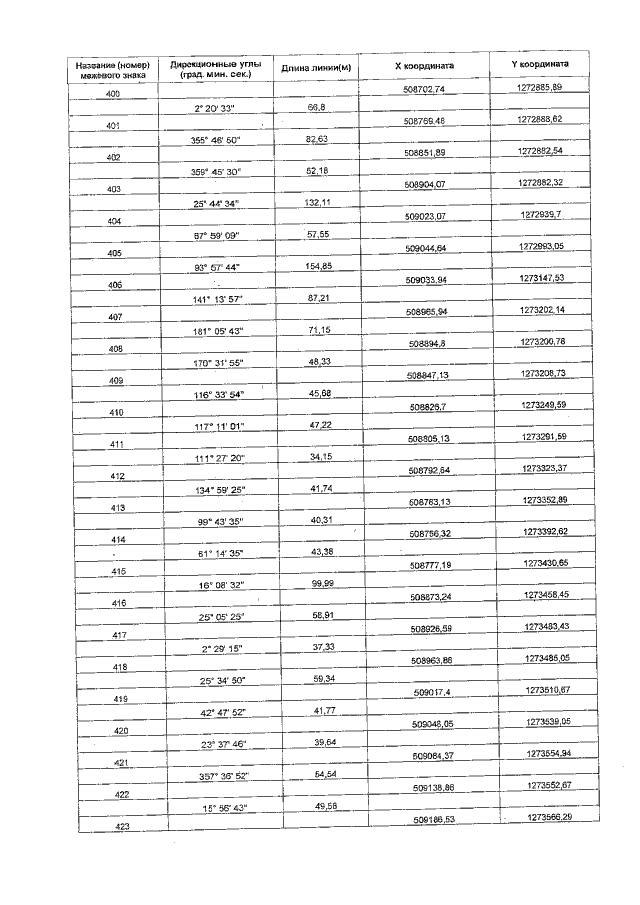
Закон Тамбовской области от 02.11.2017 № 156 - З
"Об установлении границ муниципального образования город Моршанск Тамбовской области и определении места нахождения его представительного органа и о признании утратившими силу отдельных положений некоторых законодательных актов Тамбовской области"
Номер опубликования: 6800201711070002
Дата опубликования: 07.11.2017
Страница №21 из 29:
Увеличить