Постановление Главы администрации Тамбовской области от 29.09.2017 № 109
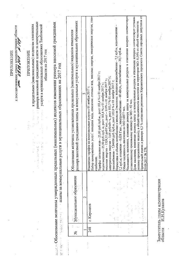
"О внесении изменений в предельные (максимальные) индексы изменения размера вносимой гражданами платы за коммунальные услуги в муниципальных образованиях Тамбовской области на 2017 год"
"О внесении изменений в предельные (максимальные) индексы изменения размера вносимой гражданами платы за коммунальные услуги в муниципальных образованиях Тамбовской области на 2017 год"
Номер опубликования: 6800201710030002
Дата опубликования:
03.10.2017
