Официальное опубликование правовых актов
ОФИЦИАЛЬНОЕ ОПУБЛИКОВАНИЕ
Закон Тамбовской области от 10.05.2017 № 104 - З
"О внесении изменений в Закон Тамбовской области "Об установлении границ и определении места нахождения представительных органов муниципальных образований в Тамбовской области"
Номер опубликования: 6800201705120012
Дата опубликования: 12.05.2017
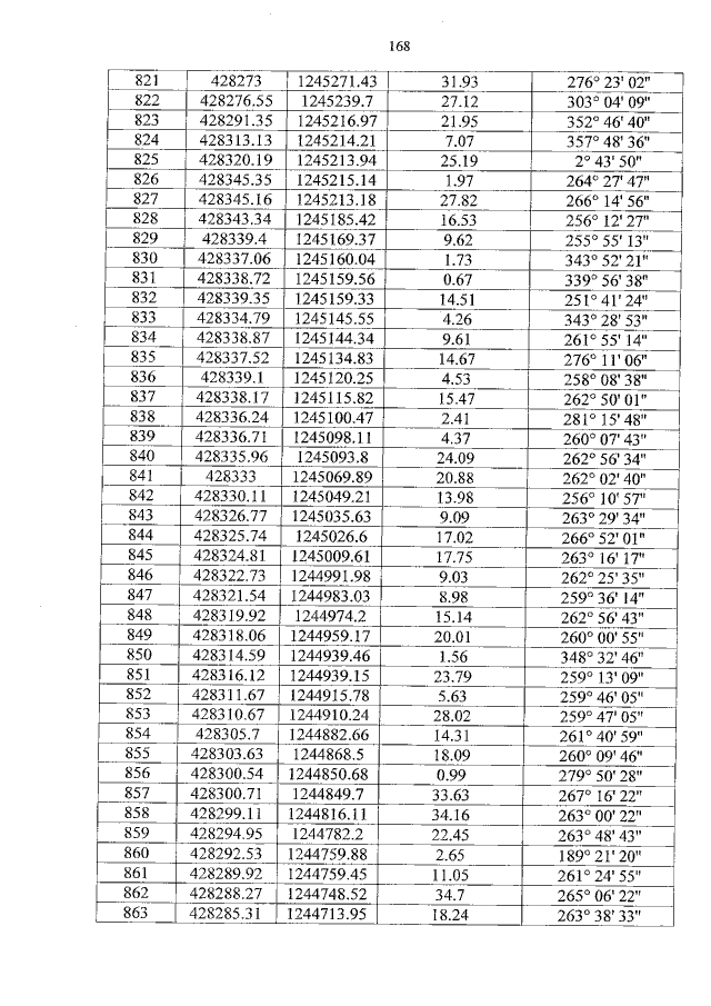
Страница №168 из 181:
Увеличить