Официальное опубликование правовых актов
ОФИЦИАЛЬНОЕ ОПУБЛИКОВАНИЕ
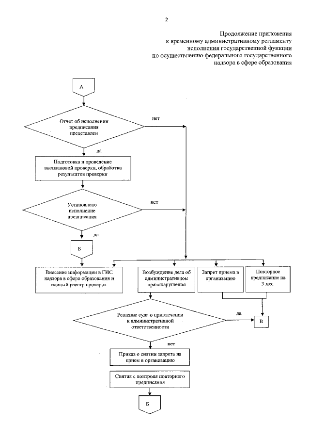
Постановление администрации Тамбовской области от 27.04.2017 № 396
"Об утверждении временного административного регламента исполнения государственной функции по осуществлению федерального государственного надзора в сфере образования"
Номер опубликования: 6800201704280004
Дата опубликования: 28.04.2017
Страница №28 из 29:
Увеличить