Официальное опубликование правовых актов
ОФИЦИАЛЬНОЕ ОПУБЛИКОВАНИЕ
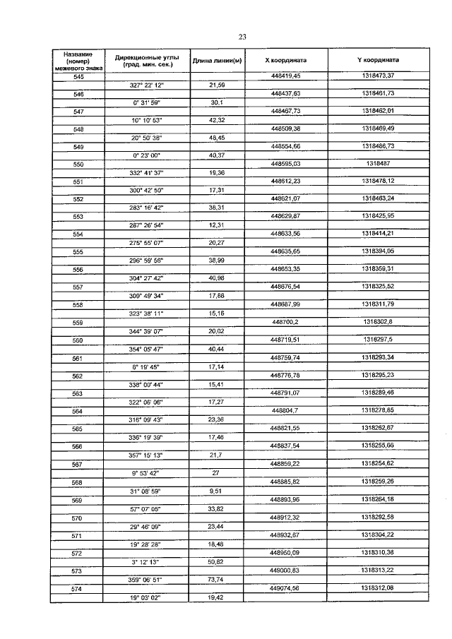
Закон Тамбовской области от 25.02.2017 № 77 - З
"О внесении изменений в Закон Тамбовской области "Об установлении границ муниципальных образований Гавриловского района Тамбовской области и определении места нахождения их представительных органов и о признании утратившими силу отдельных положений некоторых законодательных актов Тамбовской области"
Номер опубликования: 6800201703030023
Дата опубликования: 03.03.2017
Страница №23 из 74:
Увеличить