Официальное опубликование правовых актов
ОФИЦИАЛЬНОЕ ОПУБЛИКОВАНИЕ
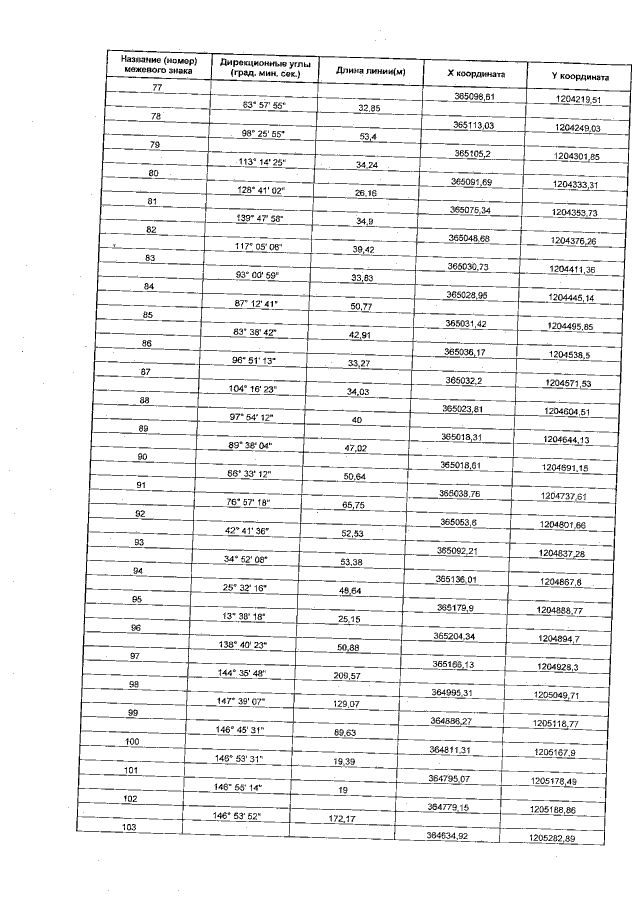
Закон Тамбовской области от 02.11.2016 № 14 - З
"Об установлении границ муниципальных образований Мордовского района Тамбовской области и определении места нахождения их представительных органов"
Номер опубликования: 6800201611030016
Дата опубликования: 03.11.2016
Страница №219 из 289:
Увеличить