Официальное опубликование правовых актов
ОФИЦИАЛЬНОЕ ОПУБЛИКОВАНИЕ
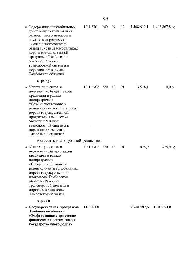
Закон Тамбовской области от 17.07.2015 № 560-З
"О внесении изменений в Закон Тамбовской области "О бюджете Тамбовской области на 2015 год и на плановый период 2016 и 2017 годов"
Номер опубликования: 6800201507240004
Дата опубликования: 24.07.2015
Страница №548 из 595:
Увеличить