Официальное опубликование правовых актов
ОФИЦИАЛЬНОЕ ОПУБЛИКОВАНИЕ
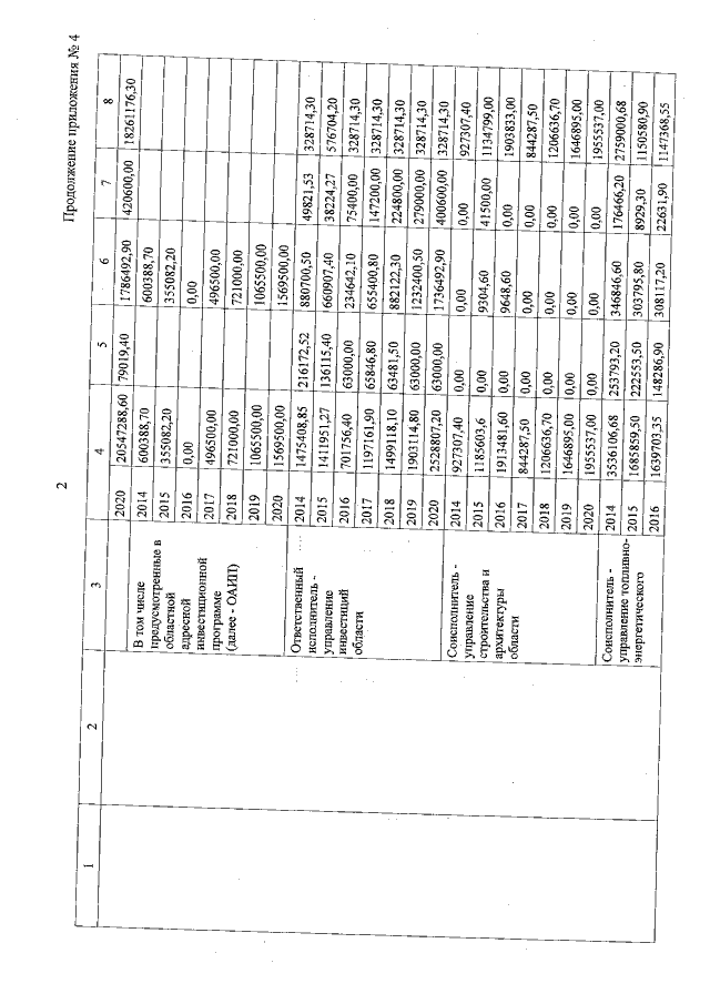
Постановление администрации Тамбовской области от 31.03.2015 № 321
"О внесении изменений в Государственную программу Тамбовской области "Обеспечение доступным и комфортным жильем и коммунальными услугами граждан области" на 2014-2020 годы"
Номер опубликования: 6800201504010005
Дата опубликования: 01.04.2015
Страница №45 из 134:
Увеличить