Официальное опубликование правовых актов
ОФИЦИАЛЬНОЕ ОПУБЛИКОВАНИЕ
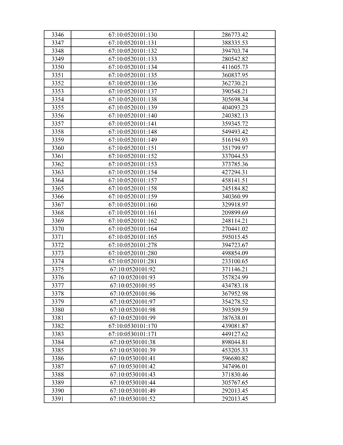
Приказ Министерства имущественных и земельных отношений Смоленской области от 03.11.2023 № 62
"Об утверждении результатов определения кадастровой стоимости зданий, помещений, сооружений, объектов незавершенного строительства, машино-мест, расположенных на территории Смоленской области"
(Зарегистрирован 07.11.2023 № 23/33-пр)
Номер опубликования: 6701202311130002
Дата опубликования: 13.11.2023
Страница №76 из 15471:
Увеличить