Официальное опубликование правовых актов
ОФИЦИАЛЬНОЕ ОПУБЛИКОВАНИЕ
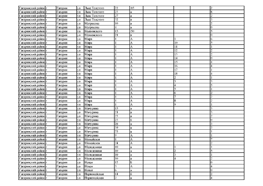
Приказ Департамента Смоленской области по природным ресурсам и экологии от 31.03.2021 № 138/0103
"Об утверждении Территориальной схемы обращения с отходами Смоленской области"
Номер опубликования: 6701202104080001
Дата опубликования: 08.04.2021
Страница №260 из 3083:
Увеличить