Официальное опубликование правовых актов
ОФИЦИАЛЬНОЕ ОПУБЛИКОВАНИЕ
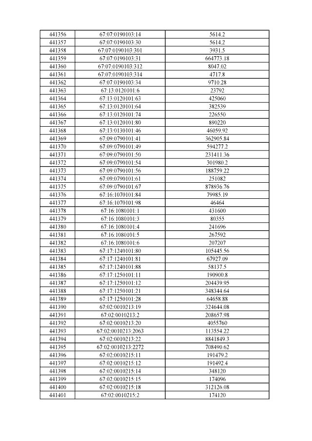
Приказ Департамента имущественных и земельных отношений Смоленской области от 16.11.2020 № 1341
"Об утверждении результатов определения кадастровой стоимости земельных участков в составе земель населенных пунктов, расположенных на территории Смоленской области"
Номер опубликования: 6701202011250001
Дата опубликования: 25.11.2020
Страница №9598 из 10017:
Увеличить