Официальное опубликование правовых актов
ОФИЦИАЛЬНОЕ ОПУБЛИКОВАНИЕ
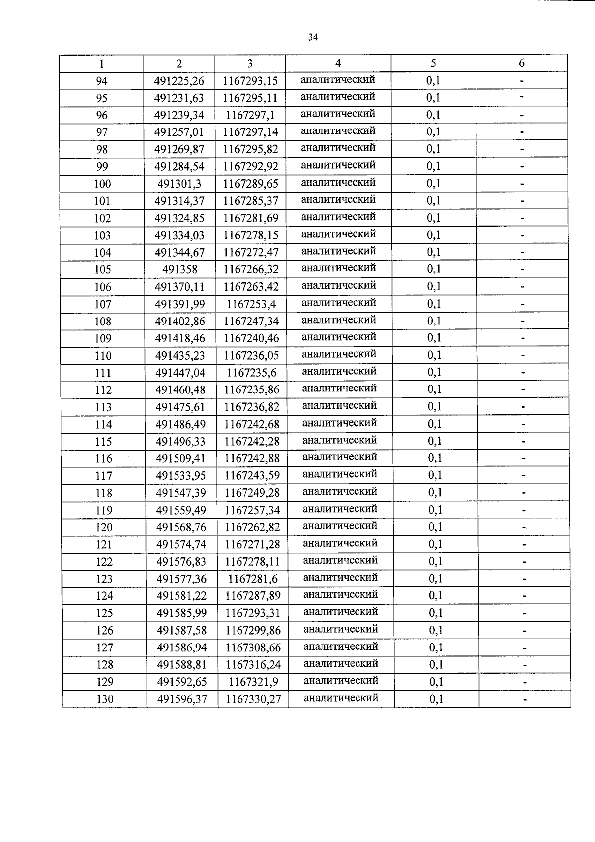
Постановление Правительства Смоленской области от 21.04.2026 № 227
"О внесении изменений в постановление Администрации Смоленской области от 25.01.2013 № 20"
Номер опубликования: 6700202604230002
Дата опубликования: 23.04.2026
Страница №34 из 69:
Увеличить